近日,船海学院物理海洋科学与工程应用团队在美国气象学会(AMS)旗下TOP期刊Journal of Physical Oceanography上在线发表了题为“Nonlinear dynamics of a hysteresis western boundary current perturbed by a mesoscale eddy at a gap with an island”,并接收了题为“Interaction of a hysteresis western boundary current with a large-scale marginal sea circulation in a gap-leaping system”的研究论文。梅欢副教授为两篇论文的第一作者,通讯作者分别为梅欢副教授和吴祥柏老师,合作者包括船海学院刘倩和王彬老师、河海大学齐义泉教授课题组成员、中科院南海海洋研究所王强研究员等,新蒲京娱乐场官网3245为论文第一作者单位和第一通讯单位。这是船海学院首次在该杂志上发表高水平学术论文,实现了新蒲京官网在海洋科学领域的新突破。此系列成果的发表有利于增强新蒲京官网在物理海洋学领域的科研影响力。

图1 高度计记录的2013年黑潮在吕宋海峡甩涡过程示意图
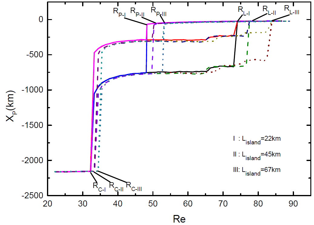
西北太平洋黑潮(西边界流)通过吕宋海峡豁口入侵南海,在β效应下,西边界流存在多平衡流态,并发生迟滞现象。黑潮流态受到多种动力因素的影响,该系列论文采用多源卫星遥感观测资料分析黑潮路径变异的时空特性,并利用海洋数值模式研究了吕宋海峡岛屿、西北太平洋中尺度涡和南海大尺度环流对于西边界流流态变化的影响。研究表明:豁口处岛屿的存在有利于西边界流以涡旋脱落流态入侵南海;中尺度涡能够使得临界态西边界流从涡旋脱落态向跨越态转变,反之亦然,西北太平洋中尺度涡到达吕宋海峡的位置也对黑潮流态产生重要影响;由冬/夏季风引起的南海大尺度环流均能使得西边界流从入侵态向跨越态转变,而仅有夏季风引起的南海大尺度环流能够使得西边界流从跨越态向入侵态转变。该系列论文的研究结果对于更好地认识黑潮通过吕宋海峡入侵南海的物理过程具有理论指导作用,并为黑潮路径变异动力机制的完善提供参考价值。

图2 岛屿对西部边界流非线性迟滞效应影响
船海学院物理海洋科学与工程应用团队主要从事海洋动力、中尺度涡、海气相互作用和气候变化、内波和内潮、近海环流等物理海洋学领域的教学和科研工作,该团队包含5名物理海洋学等专业的博士和博士后,并已在海洋科学领域高水平期刊Journal of Physical Oceanography、Journal of Climate、Geophysical Research Letters、Journal of Geophysical Research-Oceans、Remote Sensing和Acta Oceanologica Sinica等发表一系列论文。论文得到国家自然科学基金(42076005、41706003)和江苏省自然科学基金(BK20210885)等课题的支持。
论文链接:
Mei, H.*, Qi, Y., Cheng, X., Wu, X., & Wang, Q. 2022: Nonlinear Dynamics of a Hysteresis Western Boundary Current Perturbed by a Mesoscale Eddy at a Gap with an Island, Journal of Physical Oceanography, 52(9), 1993-2008. https://doi.org/10.1175/JPO-D-22-0016.1.
Mei, H., Li, K., Liu, Q., Wang, B., & Wu, X.* 2022: Interaction of a hysteresis western boundary current with a large-scale marginal sea circulation in a gap-leaping system, Journal of Physical Oceanography,(accepted) https://doi.org/10.1175/JPO-D-22-0194.1.

